■植物液
除臭技術簡介
上個世紀七十年代初,國外就開始了從純天然植物液中提取汁液消除惡臭的研究工作,并成功的從多種可食用的天然植物中得到可以消除不同異味的、多種型號的植物提取液。其重要特點是能夠迅速消除而不是暫時的掩蓋臭氣的臭味。同時,該類天然植物液產品由純天然植物提煉,對人體無毒無害,不會引起皮膚或呼吸系統過敏等各種不良反應,是可靠的、符合國際健康標準的環保產品。
天然植物除臭劑除臭原理
天然植物除臭劑能夠將臭氣降解成對人體、動物、植物無害的產品,其技術方法和原理可簡單描述為:經過專門的
除臭設備霧化,將天然植物液霧化在空間,形成顆粒很小的霧狀顆粒。霧滴具有很大的比表面積,可以高效的吸收空氣中的惡臭分子,被吸附的惡臭分子,能與植物液中的酸性緩沖液發生反應,最后生成無味、無毒的有機鹽。

幾種力來發揮作用的:◆范德華力 ◆偶合力 ◆化學反應力 ◆吸引力
總的來說植物液除臭有以下階段:植物液靠范德華力與臭氣分子結合,臭氣分子因為和植物液發生化學反應而被消除。
另外,天然植物除臭劑還可以消除氯氣和二氧化碳,它是通過在微粒的周圍產生電暈作用,電暈產生后,氣體分子和植物液結合從而被除去。Eg.對堿性氣體及酸性氣體的去除過程
? 堿性氣體:
? 如(CH3)2(CH3CH2)N:+H+A-=(CH3)2(CH3CH2)N:H+A-
? (CH3CH2)3N: +H+A-=(CH3CH2)3N:H+A-
? 酸性氣體:
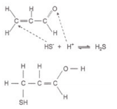
? 酸性氣體在水中會形成離子,與 EcosorbR有效成分發生加成反應。
